اختبار الرخصة المهنية فيزياء (محاكي)

السؤال رقم (1) 1 نقطة

يعد مفهوم فضاء هيلبرت مثالاً علي تداخل الفيزياء مع أي من التخصصات التالية من حيث استخدامه كأداة أساسية في وصف الأنظمة الكمية؟

خيارات الإجابة

السؤال رقم (2) 1 نقطة

تستخدم أجهزت الطرد المركزي في المختبرات الطبية لفصل مكونات الدم اذ تتحرك الجسيمات الاثقل نحو الخارج عند دوران الانبوبة بسرعة عالية. يعتمد عمل هذه الأجهزة اساساً على أي من المبادئ الفيزيائية الآتية؟

خيارات الإجابة

السؤال رقم (3) 1 نقطة

كيف استمد علماء الغرب العلم وأخذوه؟

خيارات الإجابة

السؤال رقم (4) 1 نقطة

من الأمور التي أسهمت في تطوير علم الفيزياء والتي تعد إحدى اسهامات علماء الحضارة الإسلامية؟

خيارات الإجابة

السؤال رقم (5) 1 نقطة

رمز خطر الاشعاع النووي؟

رمز خطر الاشعاع النووي؟
خيارات الإجابة

السؤال رقم (6) 1 نقطة

كيف يستعمل المعلم التقنية في تعزيز فهم الطلاب للدوائر الالكترونية المتكاملة؟

خيارات الإجابة

السؤال رقم (7) 1 نقطة

مروحة معلقة اتجاه الزخم الزاوي للأسفل، فأين سيكون اتجاه السرعة الزاوية؟

خيارات الإجابة

السؤال رقم (8) 1 نقطة

معادلة الاستمرارية مشتقة من قانون؟

خيارات الإجابة

السؤال رقم (9) 1 نقطة

تطير طائرة في مسار أفقي بسرعة ثابتة مقدارها ( 144 m/s ) وعلى ارتفاع ( 500 m ) فوق سطح البحر. أراد الطيار إسقاط صندوق إغاثة بحيث يسقط عند شخص يقف على سطح البحر مباشرةً. ما المسافة الأفقية بين الطائرة والشخص لحظة إسقاط الصندوق؟

خيارات الإجابة

السؤال رقم (10) 1 نقطة

اصطدم جسم كتلته 10 kg بسرعه 5 m/s في نابض فاستطال بمقدار 10 m. فكم مقدار ثابت النابض بوحدة N/m؟

خيارات الإجابة

السؤال رقم (11) 1 نقطة

جسم كتلته 5 kg كما في الشكل، احسب التسارع للجسم بوحدة ( m/s² )؟

جسم كتلته 5 kg كما في الشكل، احسب التسارع للجسم بوحدة ( m/s² )؟
خيارات الإجابة

السؤال رقم (12) 1 نقطة

رصاصة كتلـتها ( 20 g ) وتتحرك بسرعة ( 300 m/s ) وتصدم بقطعة خشبية ساكنة كتلـتها ( 580 g ) فاستقرت داخلها، فتحركتا معًا بعد التصادم. ما السرعة التي تتحرك بها الرصاصة والقطعة الخشبية معًا بعد التصادم بوحدة ( m/s )؟

خيارات الإجابة

السؤال رقم (13) 1 نقطة

رشاش ماء نصف قطر دورانه ( 100 m )، تتحرك نقطة عند حافته بسرعة خطية مقدارها ( 0.1 m/s ). ما مقدار السرعة الزاوية لهذا الرشاش بوحدة ( rad/s )؟

خيارات الإجابة

السؤال رقم (14) 1 نقطة

يمثل منحنى الموقع–الزمن حركة جسم. ما سرعة الجسم بوحدة ( m/s )؟

يمثل منحنى الموقع–الزمن حركة جسم. ما سرعة الجسم بوحدة ( m/s )؟
خيارات الإجابة

السؤال رقم (15) 1 نقطة

جسم يطفو منه ( 25 % ) في الماء. ما كثافة الجسم بوحدة ( kg/m³ ) علمًا بأن كثافة الماء ( 1000 kg/m³ )؟

خيارات الإجابة

السؤال رقم (16) 1 نقطة

جسم كتلته ( 2 kg ) معلق على ارتفاع ( 2 m ) من سطح الأرض. ما طاقة وضعه إذا اعتُبر أن مستوى الإسناد هو سطح المنزل الذي يرتفع عن سطح الأرض؟

خيارات الإجابة

السؤال رقم (17) 1 نقطة

غاز مثالي حجمه ( V ) وضغطه ( P ) ودرجة حرارته الابتدائية ( T ). إذا تم زيادة حجمه أربعة أضعاف وإنقاص ضغطه إلى النصف، فإن درجة حرارته النهائية تساوي؟

خيارات الإجابة

السؤال رقم (18) 1 نقطة

الكمية المتجهة؟

خيارات الإجابة

السؤال رقم (19) 1 نقطة

مكبس هيدروليكي مساحة أحد سطحيه أكبر بمقدار 40 ضعف من مساحة المكبس الآخر. ما القوة التي يجب تسليطها على المكبس الأصغر لرفع سيارة وزنها ( 20000 N )؟

خيارات الإجابة

السؤال رقم (20) 1 نقطة

إذا كان طول مادة ما يساوي ( 0.9 m ) ثم زاد طولها ثلاث مرات، وكذلك زاد سمكها ثلاث مرات، فكم يصبح طولها الجديد؟

خيارات الإجابة

السؤال رقم (21) 1 نقطة

إذا خلطنا ( 1 kg ) من الماء درجة حرارته ( 80 °C ) مع ( 2 kg ) من الماء درجة حرارته ( 20 °C )، فما درجة حرارة الاتزان؟

خيارات الإجابة

السؤال رقم (22) 1 نقطة

عندما تقل الطاقة الحرارية لغاز مثالي فإن التغير في حركة جزيئاته ستكون ………؟

خيارات الإجابة

السؤال رقم (23) 1 نقطة

تتحرك شحنةكهربائية بسرعة ثابتة داخل مجال مغناطيسي منتظم، عند أي زاو ية بين متجه السرعة ومتجه المجال المغناطيسي تكون القوة المغناطيسية المؤثرة في الشحنة أكبر ما يمكن؟

خيارات الإجابة

السؤال رقم (24) 1 نقطة

ما السعة المكافئة للمكثفات المواصلة في الشكل التالي؟

ما السعة المكافئة للمكثفات المواصلة في الشكل التالي؟
خيارات الإجابة

السؤال رقم (25) 1 نقطة

عند تعجيل إلكترون داخل منطقة مجال كهربائي منتظم شدته ( 500 N/C )، ما مقدار القوة الكهربائية المؤثرة في الإلكترون بوحدة ( N )، علمًا بأن شحنة الإلكترون ( 1.6− × 10⁻¹⁹ C )؟

خيارات الإجابة

السؤال رقم (26) 1 نقطة

بروتون و إلكترون ونيترون على خط واحد، عند أي شكل يكون اتجاه خطوط المجال الكهربائي صحيح؟

بروتون و إلكترون ونيترون على خط واحد، عند أي شكل يكون اتجاه خطوط المجال الكهربائي صحيح؟
خيارات الإجابة

السؤال رقم (27) 1 نقطة

أي من الاشكال التالية التي تحمل حلقة يمر بها تيار تكون شدة المجال المغناطيسي الناشئ عن التيار أكبر عند مركز الحلقة؟

أي من الاشكال التالية التي تحمل حلقة يمر بها تيار تكون شدة المجال المغناطيسي الناشئ عن التيار أكبر عند مركز الحلقة؟
خيارات الإجابة

السؤال رقم (28) 1 نقطة

كما في الشكل ما قيمة التيار المار في الدائرة؟

كما في الشكل ما قيمة التيار المار في الدائرة؟
خيارات الإجابة

السؤال رقم (29) 1 نقطة

سلك مستقيم يمر به تيار شدته ( 40 A ) يكون مجال مغناطيسي على بعد ( X )، ما شدة المجال المغناطيسي عندما يمر به تيار شدته ( 50 A ) في نقطة تبعد ( 5 X )؟

خيارات الإجابة

السؤال رقم (30) 1 نقطة

ما مقدار القوة المغناطيسية بوحدة ( N ) المؤثرة في جسيم مشحون شحنته ( 3.2×10⁻¹⁹ C ) يتحرك عموديًا داخل مجال مغناطيسي شدته ( 5 T ) وبسرعة ( 200 m/s )؟

خيارات الإجابة

السؤال رقم (31) 1 نقطة

إذا كان مقدار شدة المجال المغناطيسي لشحنة نقطية عند مسافة ( r ) هو ( E 1 )، فما مقدار شدة المجال الكهربائي (E2) عند مسافة ( 2r )؟

إذا كان مقدار شدة المجال المغناطيسي لشحنة نقطية عند مسافة ( r ) هو ( E 1 )، فما مقدار شدة المجال الكهربائي (E2) عند مسافة ( 2r )؟
خيارات الإجابة

السؤال رقم (32) 1 نقطة

كم مقدار الشحنة بوحدة ميكرو كولوم من خلال الشكل التالي؟

كم مقدار الشحنة بوحدة ميكرو كولوم من خلال الشكل التالي؟
خيارات الإجابة

السؤال رقم (33) 1 نقطة

من خلال الرسم التالي نقطة التعادل الكهربائية أين تقع؟

من خلال الرسم التالي نقطة التعادل الكهربائية أين تقع؟
خيارات الإجابة

السؤال رقم (34) 1 نقطة

شحنة سالبة تعبر مجال مغناطيسي منتظم كما في الشكل فأين سيكون اتجاهها؟

شحنة سالبة تعبر مجال مغناطيسي منتظم كما في الشكل فأين سيكون اتجاهها؟
خيارات الإجابة

السؤال رقم (35) 1 نقطة

انتقل الشعاع من الزجاج إلي الهواء، أي مسار الأشعة الصحيح؟

انتقل الشعاع من الزجاج إلي الهواء، أي مسار الأشعة الصحيح؟
خيارات الإجابة

السؤال رقم (36) 1 نقطة

في الشكل التالي ثلاث أنواع من الأشعاعات أشعة فوق بنفسجية، أشعة الضوء المرئي، أشعة تحت الحمراء. بناء على الأطوال الموجية في الشكل التالي فأي العبارات التالية صحيح؟

في الشكل التالي ثلاث أنواع من الأشعاعات أشعة فوق بنفسجية، أشعة الضوء المرئي، أشعة تحت الحمراء. بناء على الأطوال الموجية في الشكل التالي فأي العبارات التالية صحيح؟
خيارات الإجابة

السؤال رقم (37) 1 نقطة

مرآة مقعرة بعدها البؤري ( 15 cm ) أين يجب أن يوضع الجسم حتي يكون له صورة حقيقية مكبرة ثلاث مرات؟

خيارات الإجابة

السؤال رقم (38) 1 نقطة

يمر شعاع الضوء عبر ثلاث أوساط مختلفةكما هو موضح في الشكل، أي الصيغة التالية صحيحة؟

يمر شعاع الضوء عبر ثلاث أوساط مختلفةكما هو موضح في الشكل، أي الصيغة التالية صحيحة؟
خيارات الإجابة

السؤال رقم (39) 1 نقطة

موجة مستعرضة كما بالشكل ترددها (10 Hz)، كم مقدار سرعتها بوحدة (m\s)؟

موجة مستعرضة كما بالشكل ترددها (10 Hz)، كم مقدار سرعتها بوحدة (m\s)؟
خيارات الإجابة

السؤال رقم (40) 1 نقطة

مصباح يضئ سطحا يبعد (2 m)، فإذا تم تحريك السطح ليصبح عيل بعد (4 m)، فكم مقدار الاستضاءة الجديدة؟

خيارات الإجابة

السؤال رقم (41) 1 نقطة

إذا علمت ان تردد العتبة هو (f) ولكي يتحرر الإلكترون ويكتسب طاقة حركية فإن تردد الفوتون يجب أن يساوي؟

خيارات الإجابة

السؤال رقم (42) 1 نقطة

عنصر مشع كتلته (8 g) وعمر النصف له (20 يوم)، ما الكمية المتبقية منه بعد (80 يوم)؟

خيارات الإجابة

السؤال رقم (43) 1 نقطة

إذا كان عمر النصف (5000 يوم) لعنصر والكتلة الكلية (1000 g) فكم الكتلة المتبقية بعد مضيء (100 يوم) ؟

خيارات الإجابة

السؤال رقم (44) 1 نقطة

ما مقدار طول الموجة دي برولي بوحدة المتر لإلكترون كمية حركته (3.3ײ⁴⁻10)، إذا علمت أن ثابت بلانك يساوي ( j.s 6.6׳⁴⁻10)؟

خيارات الإجابة

السؤال رقم (45) 1 نقطة

افترض أن سرعة الضوء في الفراغ هي ثابت كوني؟

خيارات الإجابة

السؤال رقم (46) 1 نقطة

عندما يمر الفوتون دون أن يتفاعل فعليا ً مع الإلكترون أو عندما يكون متشتت كليا ً أي الزاوية صفر فأن التغير في الطول الموجي يساوي؟

خيارات الإجابة

السؤال رقم (47) 1 نقطة

خطوات تنفيذ المادة العلمية باستخدام استراتيجية بوليا؟

خيارات الإجابة

السؤال رقم (48) 1 نقطة

إن من ضروريات متابعة نتائج اختبار نافس؟

خيارات الإجابة

السؤال رقم (49) 1 نقطة

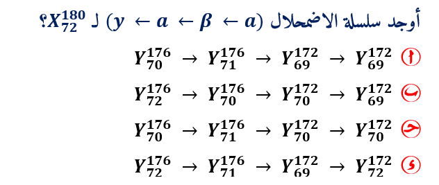
السؤال 49

السؤال 49
خيارات الإجابة

السؤال رقم (50) 1 نقطة

أراد المعلم معرفة سبب انخفاض مشاركة طلابه في الدرس، فلجأ الي إجراء مقابلة مقننة معهم، اختار هذا النوع من المقابلان لأنها تتميز ب ؟

خيارات الإجابة

السؤال رقم (51) 1 نقطة

السؤال رقم 51

السؤال رقم 51
خيارات الإجابة

السؤال رقم (52) 1 نقطة

أراد المعلم معرفة سبب انخفاض مشاركة طلابه في الدرس، فلجأ الي إجراء مقابلة (شبه) مقننة معهم، اختار هذا النوع من المقابلات لأنها تتميز بــ ؟

خيارات الإجابة

السؤال رقم (53) 1 نقطة

السؤال رقم 53

السؤال رقم 53
خيارات الإجابة

السؤال رقم (54) 1 نقطة

في درس عن بناء المفاعلات النووية قام المعلم بتقسيم الطلاب الي مجموعة مؤيدة، مجموعة معارضة، مجموعة تقوم بالحكم. نوع الاستقصاء هنا؟

خيارات الإجابة

السؤال رقم (55) 1 نقطة

السؤال رقم 55

السؤال رقم 55
خيارات الإجابة

السؤال رقم (56) 1 نقطة

السؤال 56

السؤال 56
خيارات الإجابة

السؤال رقم (57) 1 نقطة

السؤال 57

السؤال 57
خيارات الإجابة

السؤال رقم (58) 1 نقطة

السؤال 58

السؤال 58
خيارات الإجابة

السؤال رقم (59) 1 نقطة

السؤال 59

السؤال 59
خيارات الإجابة

السؤال رقم (60) 1 نقطة

السؤال 60

السؤال 60
خيارات الإجابة